
Вычисление угла между векторами является важной задачей в различных областях, таких как физика, компьютерная графика и анализ данных. В Python для этого можно использовать несколько методов, но одним из наиболее эффективных является использование скалярного произведения и норм векторов.
Сначала, для вычисления угла между двумя векторами, нужно помнить формулу для скалярного произведения:
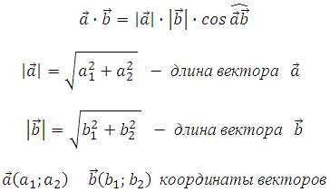
A · B = |A| * |B| * cos(θ), где A и B – это два вектора, |A| и |B| – их длины, а θ – угол между ними.
Для вычисления угла θ можно воспользоваться следующей формулой:
θ = acos((A · B) / (|A| * |B|)), где acos – это арккосинус, который возвращает угол в радианах.
В Python для этого достаточно использовать модуль numpy, который предоставляет функции для работы с векторами и вычисления скалярного произведения. Для вычисления длины вектора используется функция numpy.linalg.norm.
Пример реализации:
import numpy as np
def angle_between_vectors(a, b):
 > dot_product = np.dot(a, b)
 > norm_a = np.linalg.norm(a)
 > norm_b = np.linalg.norm(b)
 > cos_theta = dot_product / (norm_a * norm_b)
 > return np.arccos(cos_theta)
Этот код возвращает угол в радианах. Для перевода его в градусы, можно использовать функцию np.degrees.
Подготовка данных: как представлять векторы в Python

Для представления векторов с помощью списка Python, каждый элемент вектора будет отдельным элементом списка. Пример:
vector = [3, 4]
Однако для выполнения операций с векторами, таких как вычисление угла, стоит использовать массивы NumPy. В NumPy вектор представляется как одномерный массив (ndarray), что позволяет эффективно работать с операциями над векторами, такими как скалярное произведение и нормализация.
Пример создания вектора в NumPy:
import numpy as np vector = np.array([3, 4])
NumPy предоставляет функции для выполнения математических операций, таких как нахождение длины вектора (нормы), скалярное произведение и многие другие, что делает работу с векторами быстрым и удобным.
Также следует отметить, что векторы могут быть представлены в виде столбцов или строк в многомерных массивах, что позволяет эффективно работать с матрицами и операциями линейной алгебры.
Основное математическое правило для вычисления угла между векторами
Для вычисления угла между двумя векторами используется формула, основанная на скалярном произведении. Угол θ между векторами A и B можно найти по следующему выражению:
cos(θ) = (A · B) / (|A| * |B|)
Здесь A · B – скалярное произведение векторов, |A| и |B| – их длины. Формула позволяет получить значение косинуса угла, а затем, используя арккосинус, найти сам угол:
θ = arccos((A · B) / (|A| * |B|))
Для вычисления скалярного произведения двух векторов A = (a₁, a₂, …, aₙ) и B = (b₁, b₂, …, bₙ) применяется следующая формула:
A · B = a₁b₁ + a₂b₂ + … + aₙbₙ
Длину вектора можно вычислить как его евклидову норму:
|A| = √(a₁² + a₂² + … + aₙ²)
Полученные значения можно подставить в основную формулу для нахождения угла. В Python для реализации этих вычислений можно использовать библиотеку numpy, которая предоставляет готовые функции для работы с векторами и вычисления углов.
Использование библиотеки NumPy для вычисления угла

cos(θ) = (a · b) / (|a| * |b|),
где a · b – скалярное произведение векторов, |a| и |b| – их нормы (модули). Функция NumPy np.dot() используется для нахождения скалярного произведения, а для вычисления нормы можно воспользоваться функцией np.linalg.norm().
Пример вычисления угла между двумя векторами в Python с использованием NumPy:
import numpy as np
# Определение векторов
a = np.array([1, 2, 3])
b = np.array([4, 5, 6])
# Скалярное произведение
dot_product = np.dot(a, b)
# Нормы векторов
norm_a = np.linalg.norm(a)
norm_b = np.linalg.norm(b)
# Вычисление косинуса угла
cos_theta = dot_product / (norm_a * norm_b)
# Вычисление угла в радианах
theta_radians = np.arccos(cos_theta)
# Преобразование в градусы
theta_degrees = np.degrees(theta_radians)
print(f"Угол между векторами: {theta_degrees} градусов")
В результате выполнения этого кода будет получен угол между векторами в градусах. Важно учитывать, что функция np.arccos() возвращает значение угла в радианах, поэтому для получения угла в градусах необходимо использовать np.degrees().
Этот метод позволяет точно и эффективно вычислять углы между векторами в любой размерности. NumPy автоматически обрабатывает векторные операции, что упрощает вычисления, особенно для высокоразмерных данных.
Как рассчитать угол вручную с помощью формулы скалярного произведения

Для вычисления угла между двумя векторами вручную используется формула, основанная на скалярном произведении. Векторное скалярное произведение связано с углом между векторами через косинус этого угла. Формула выглядит следующим образом:
cos(θ) = (A · B) / (|A| * |B|)
Где:
- A · B – скалярное произведение векторов A и B,
- |A| и |B| – длины (модули) векторов A и B,
- θ – угол между векторами A и B.
Шаги для вычисления угла:
- Вычислить скалярное произведение векторов A и B:
A · B = A1 * B1 + A2 * B2 + … + An * Bn. - Найти длины векторов A и B:
|A| = √(A1² + A2² + … + An²),
|B| = √(B1² + B2² + … + Bn²). - Подставить все найденные значения в формулу для косинуса угла:
cos(θ) = (A · B) / (|A| * |B|)
После нахождения косинуса угла можно вычислить сам угол, используя обратную функцию косинуса (арккосинус):
θ = arccos(cos(θ))
Результат будет в радианах. Если нужен угол в градусах, преобразуйте его через:
θ (градусы) = θ (радианы) * (180 / π)
Этот метод применим для любых векторов в n-мерном пространстве.
Угол между векторами в 2D и 3D: различия в вычислениях

Вычисление угла между векторами в 2D и 3D основано на схожих принципах, но есть важные различия, которые стоит учитывать при решении задач в этих пространствах.
Для вычисления угла между двумя векторами используется скалярное произведение и формула, связывающая его с косинусом угла. В 2D и 3D формулы имеют схожий вид, но нужно учитывать количество компонент вектора.
В 2D: Пусть у нас есть два вектора v1 = (x1, y1) и v2 = (x2, y2). Скалярное произведение вычисляется как:
v1 · v2 = x1 * x2 + y1 * y2
Косинус угла между векторами можно найти по формуле:
cos(θ) = (v1 · v2) / (|v1| * |v2|)
Где |v1| = √(x1² + y1²) и |v2| = √(x2² + y2²) – длины векторов. После нахождения косинуса угла, сам угол можно вычислить с помощью функции acos() из модуля math.
В 3D: В 3D пространстве, например, для векторов v1 = (x1, y1, z1) и v2 = (x2, y2, z2), формула скалярного произведения будет следующей:
v1 · v2 = x1 * x2 + y1 * y2 + z1 * z2
Длины векторов также рассчитываются с учётом третьей компоненты:
|v1| = √(x1² + y1² + z1²)
|v2| = √(x2² + y2² + z2²)
Для вычисления угла между векторами применяется та же формула с косинусом:
cos(θ) = (v1 · v2) / (|v1| * |v2|)
Разница между 2D и 3D заключается в том, что в 3D пространстве учитывается дополнительная компонента, что может влиять на точность вычислений и геометрическую интерпретацию угла. В 3D пространство углы между векторами имеют больше вариантов, так как существует большее количество направлений для векторов, что не характерно для 2D.
Также, в 3D важным дополнением может быть использование векторного произведения для нахождения углов между векторами, когда важно учесть направление. Это не применимо в 2D, где нет такой сложности.
Как учесть погрешности при вычислениях угла между векторами

При вычислении угла между векторами всегда следует учитывать погрешности, которые могут возникать из-за ограниченной точности числовых вычислений. Даже незначительные ошибки могут существенно повлиять на результат, особенно при работе с большими массивами данных или в задачах с высокой точностью.
Основные источники погрешностей при вычислении угла между векторами:
- Округление чисел в процессе вычислений.
- Числовая нестабильность, особенно в случае очень малых или больших значений вектора.
- Погрешности, связанные с представлением чисел с плавающей запятой в компьютере.
Для учета этих факторов можно использовать несколько подходов:
- Использование библиотеки NumPy для вычислений. Она оптимизирована для работы с векторами и минимизирует погрешности при выполнении математических операций.
- Проверка значений скалярного произведения перед вычислением угла. Если скалярное произведение слишком близко к нулю (или отклоняется за пределы допустимого диапазона), то вычисления угла могут быть искажены.
- Использование метода
arccosс дополнительной проверкой значений, чтобы избежать ошибки из-за переполнения или числовых погрешностей. Например, ограничить входное значение функцииarccosв диапазоне от -1 до 1.
Рекомендации для улучшения точности:
- Используйте высокоточные библиотеки, такие как NumPy или SciPy, которые могут работать с более точными типами данных (например,
float128вместо стандартныхfloat64). - В случае необходимости можно применить нормализацию векторов перед вычислением угла, что уменьшает влияние погрешностей на результат.
- Применяйте метод исключения ошибок при вычислениях (например, сравнение с нулем, чтобы избежать деления на ноль или ошибок при вычислении угла).
Используя эти методы, можно минимизировать погрешности и улучшить точность вычислений угла между векторами в Python.
Вычисление угла с использованием косинуса угла в Python

Для нахождения угла между двумя векторами в Python можно использовать формулу через косинус угла. Косинус угла между векторами можно вычислить через скалярное произведение и длины векторов:
cos(θ) = (A · B) / (||A|| * ||B||)
Здесь A · B – скалярное произведение векторов, а ||A|| и ||B|| – их длины. Угол θ можно получить с помощью функции acos из модуля math, которая вычисляет арккосинус.
Пример реализации:
import math
import numpy as np
# Пример векторов
A = np.array([1, 2, 3])
B = np.array([4, -5, 6])
# Скалярное произведение
dot_product = np.dot(A, B)
# Длины векторов
norm_A = np.linalg.norm(A)
norm_B = np.linalg.norm(B)
# Косинус угла
cos_theta = dot_product / (norm_A * norm_B)
# Угол в радианах
theta_radians = math.acos(cos_theta)
# Угол в градусах
theta_degrees = math.degrees(theta_radians)
print(f"Угол между векторами: {theta_degrees}°")
Практическое применение вычисления угла между векторами в анализе данных

Вычисление угла между векторами находит множество применений в анализе данных, особенно при работе с многомерными признаками. Например, при обработке текстовых данных с использованием методов векторизации, таких как TF-IDF или Word2Vec, угол между векторами может служить мерой сходства между текстами. Меньший угол означает более высокое сходство, в то время как более острые углы указывают на различия между документами.
Также угол между векторами часто используется для оценки схожести объектов в рекомендательных системах. Если вектор пользователя и вектор товара образуют маленький угол, это может указывать на высокую вероятность интереса пользователя к товару. Векторизация продуктов и пользователей с использованием моделей, таких как матричные разложения, позволяет эффективно вычислять эти углы для создания рекомендаций.
Еще одно важное применение угла между векторами – это анализ кластеров. Например, в методах кластеризации, таких как K-means, можно анализировать углы между центрами кластеров и элементами данных для определения степени принадлежности точек к тем или иным кластерам. Чем меньше угол между вектором точки и центром кластера, тем выше вероятность принадлежности этой точки данному кластеру.
В области анализа изображений вычисление угла между векторами признаков изображений также помогает выявлять сходства между изображениями. Это используется в системах распознавания образов, где изображения преобразуются в векторные представления. Угол между этими векторами позволяет оценить схожесть изображений, что важно для поиска похожих картинок или идентификации объектов.
Таким образом, вычисление угла между векторами не только помогает в понимании взаимосвязей между объектами данных, но и открывает возможности для построения более точных и эффективных аналитических моделей.
Вопрос-ответ:
Почему для вычисления угла между векторами используется арккосинус?
Арккосинус используется, потому что косинус угла между векторами выражает отношение их скалярного произведения к произведению длин этих векторов. Косинус является функцией, которая возвращает значение угла, лежащее в интервале от 0 до 180 градусов. Для получения самого угла в радианах или градусах мы используем функцию `arccos`, которая инвертирует косинус, давая точный угол. В Python это можно сделать с помощью функции `numpy.arccos`. Важно помнить, что результат арккосинуса всегда будет лежать в пределах от 0 до \(\pi\) радиан, что соответствует углу между векторами от 0 до 180 градусов.
