
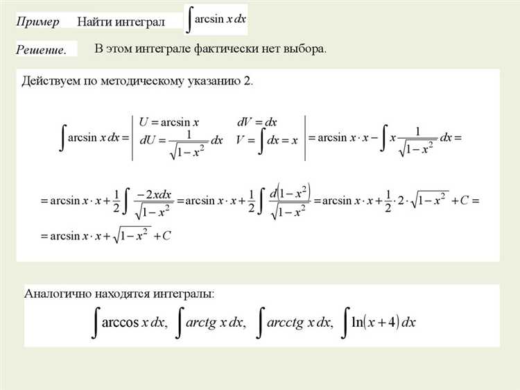
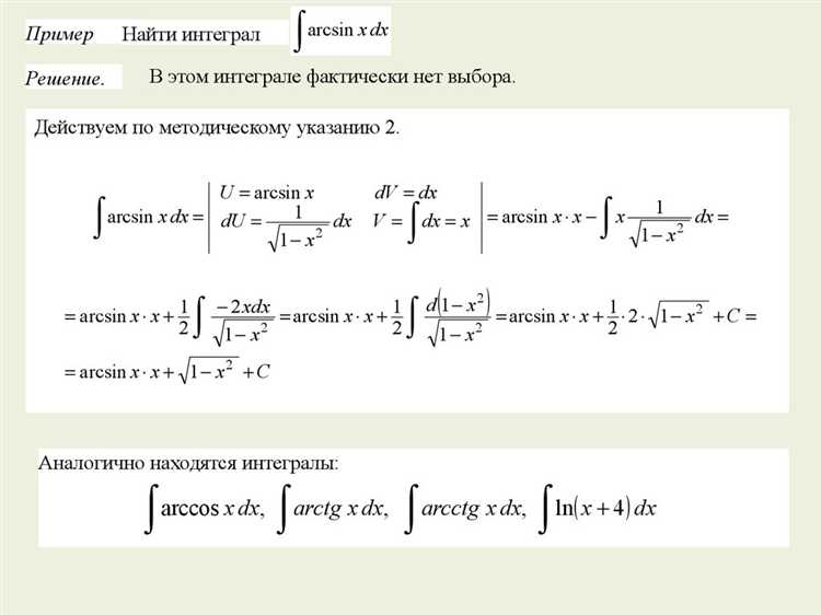
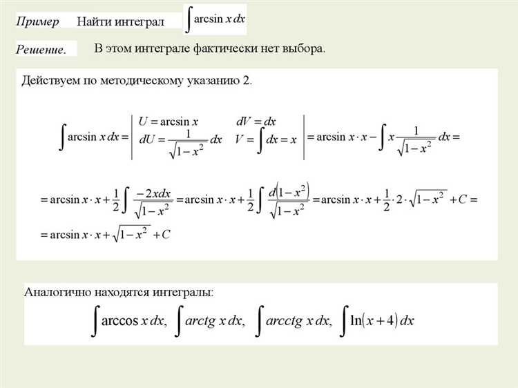
Для вычисления интегралов в Mathematica используется функция Integrate, которая позволяет решить как определенные, так и неопределенные интегралы. Эта команда поддерживает работу с выражениями различных типов, от простых алгебраических до сложных трансцендентных функций.
Для вычисления неопределённого интеграла достаточно ввести команду в виде Integrate[f[x], x], где f[x] – это функция, подлежащая интегрированию. Важно учитывать, что Mathematica автоматически подбирает наиболее подходящий метод для решения задачи, однако иногда можно уточнить метод, используя дополнительные параметры.
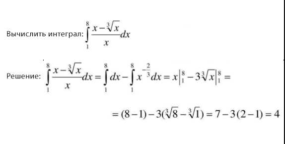
Для вычисления определённого интеграла используется аналогичная конструкция, но с указанием пределов интегрирования: Integrate[f[x], {x, a, b}], где a и b – это границы интервала. Важно помнить, что Mathematica может использовать численные методы, если аналитическое решение невозможно.
Если функция имеет сложную форму или включает несколько переменных, то необходимо учитывать возможные ограничения. В таких случаях можно задать условия для переменных, что помогает программе сузить область поиска решения. Также стоит обратить внимание на возможность использования параметрического интегрирования, что значительно расширяет возможности программы при работе с более сложными выражениями.
Использование функции Integrate для простых интегралов

В Mathematica функция Integrate применяется для вычисления определённых и неопределённых интегралов. Для простых интегралов, например, полиномиальных или тригонометрических функций, синтаксис сводится к использованию базовых конструкций. Основной формат вызова функции выглядит следующим образом:
Integrate[выражение, переменная]
Если необходимо вычислить неопределённый интеграл, достаточно указать саму функцию и переменную. Например:
Integrate[x^2, x]
Этот запрос в Mathematica возвращает x^3/3, что соответствует интегралу полинома второй степени по переменной x.
Для вычисления определённого интеграла указываются пределы интегрирования:
Integrate[x^2, {x, 0, 1}]
Этот запрос вычисляет интеграл от x^2 на интервале от 0 до 1, результатом будет 1/3.
Функция Integrate может автоматически выбирать методы решения, однако в случае простых интегралов достаточно стандартного подхода, и Mathematica быстро находит решение. Однако стоит помнить, что при более сложных выражениях система может предложить несколько методов или использовать численные методы.
При работе с тригонометрическими функциями, например:
Integrate[Sin[x], x]
Результатом будет -Cos[x]. Для вычисления определённого интеграла от синуса на интервале от 0 до π:
Integrate[Sin[x], {x, 0, Pi}]
Ответом будет 2. Таким образом, функция Integrate является мощным инструментом для решения простых интегралов в Mathematica, дающим точные аналитические результаты без необходимости вручную применять стандартные формулы.
Вычисление неопределенных интегралов в Mathematica

Пример вычисления простого неопределенного интеграла:
Integrate[x^2, x]
Результат выполнения этого кода: x^3/3.
Если необходимо указать пределы интегрирования или дополнительные параметры, это можно сделать через дополнительные аргументы функции. Однако для неопределенных интегралов достаточно просто указать выражение и переменную.
Иногда Mathematica не может выразить результат интеграла в элементарных функциях. В таких случаях система может вывести ответ в виде специальной функции, например, с использованием MeijerG или HypergeometricPFQ. Эти функции предназначены для представления сложных интегралов, которые не могут быть выражены стандартными методами.
Если необходимо вычислить интеграл с условием, например, с учетом дополнительных ограничений или условий, можно использовать опцию Assumptions. Пример:
Integrate[1/(x^2 + 1), x, Assumptions -> x \[Element] Reals]
Эта команда задает предположение, что x – действительное число, что может повлиять на результат интегрирования.
Mathematica также предоставляет возможность интегрировать сложные выражения с несколькими переменными. Например, для двойных или тройных интегралов используется синтаксис:
Integrate[f[x, y], {x, a, b}, {y, c, d}]
При необходимости вычисления интегралов с более сложными функциями или их производными, можно использовать дополнительные параметры или же сделать несколько шагов с поэтапным упрощением выражений.
Как задать пределы интегрирования для определенного интеграла
В программе Mathematica интегралы задаются с помощью команды Integrate. Чтобы вычислить определенный интеграл, необходимо указать пределы интегрирования. Это можно сделать следующим образом:
Integrate[f[x], {x, a, b}]– гдеf[x]– функция, которую нужно интегрировать,a– нижний предел,b– верхний предел.
Пример:
Integrate[x^2, {x, 0, 1}]
Этот код вычислит определенный интеграл функции x^2 от 0 до 1.
При задании пределов интегрирования можно использовать переменные, параметры и даже выражения, например:
- Пределы могут быть выражениями, зависящими от других переменных или параметров:
Integrate[f[x], {x, a, a + 1}]. - Если пределы зависят от других переменных, можно задать их через переменные:
Integrate[f[x], {x, p, q}], гдеpиq– переменные.
Если необходимо задать бесконечные пределы, это можно сделать с помощью символа ∞ или -∞. Например:
Integrate[Exp[-x^2], {x, -∞, ∞}]
Этот код вычислит интеграл Гаусса от минус бесконечности до плюс бесконечности.
Кроме того, можно использовать условные пределы, если пределы зависят от других условий, например:
Integrate[f[x], {x, a, b}, Assumptions -> x > 0]
При необходимости интегрировать по нескольким переменным, пределы для каждой из них указываются в скобках, разделенных запятой. Например:
Integrate[f[x, y], {x, a, b}, {y, c, d}]
Таким образом, Mathematica предоставляет гибкие возможности для задания пределов интегрирования, что позволяет работать с различными типами интегралов, включая те, которые имеют переменные, параметры или бесконечные пределы.
Интеграция функций с параметрами в Mathematica

В Mathematica интеграция функций с параметрами реализуется с помощью встроенной функции Integrate. Для вычисления интегралов, содержащих параметры, необходимо правильно указать переменные и параметры интегрирования, чтобы избежать ошибок в интерпретации выражений. Пример простого интеграла с параметром:
Integrate[Sin[a x], {x, 0, Pi}]
Здесь a – это параметр, а x – переменная интегрирования. В таком случае результат будет зависеть от значения параметра a. Чтобы выразить результат через параметры, важно помнить, что Mathematica будет искать аналитическое решение для интеграла, если это возможно. Если параметр a не является числовым, вычисления не будут приведены к числовому результату до подстановки конкретного значения.
Для работы с интегралами, содержащими параметры, полезно использовать условие для параметров. Например, чтобы вычислить интеграл для положительных значений a, можно добавить ограничение:
Integrate[Exp[-a x], {x, 0, Infinity}, Assumptions -> {a > 0}]
В этом примере переменная a должна быть больше нуля, чтобы результат вычисления имел физический смысл (например, в контексте рассеяния или затухания).
Если параметр может принимать разные значения, можно вычислить числовые значения интеграла для различных значений параметра. Для этого используется функция NIntegrate. Например:
NIntegrate[Exp[-a x], {x, 0, 1}, {a, 1, 5}]
Здесь будут вычислены численные интегралы для разных значений параметра a в пределах от 1 до 5.
Важным аспектом является использование функций типа Piecewise или условных выражений для работы с параметрами, которые могут изменяться в зависимости от условий. Например, если интеграл зависит от нескольких параметров, которые влияют на пределы интегрирования, можно использовать:
Integrate[Piecewise[{{x^2, a > 0}, {x, a <= 0}}], {x, 0, 1}]
Этот пример вычисляет интеграл с учетом различий в поведении функции в зависимости от значения параметра a.
Таким образом, при интеграции функций с параметрами в Mathematica необходимо правильно учитывать не только переменные интегрирования, но и возможные ограничения на параметры, чтобы добиться корректных результатов.
Применение численных методов для вычисления интегралов
Численные методы интегрирования применяются, когда аналитическое решение интеграла невозможно или слишком сложно для нахождения. В программе Mathematica для численного вычисления интегралов используются несколько методов, каждый из которых обладает своими преимуществами и ограничениями.
Один из самых распространенных методов – метод трапеций. Он заключается в аппроксимации области под графиком функции трапециями. В Mathematica для этого используется функция NIntegrate, которая автоматически выбирает подходящий метод в зависимости от сложности функции. Для простых функций, например, полиномов, этот метод может дать достаточно точный результат. Однако его точность снижается при увеличении сложности функции, особенно в случае с осциллирующими или разрывными функциями.
Для более точных вычислений используется метод Симпсона, который использует параболические аппроксимации. Этот метод более эффективен для гладких функций, особенно когда функция имеет небольшие изменения между узлами интегрирования. В Mathematica для метода Симпсона также доступна встроенная функция NIntegrate, которая при необходимости может быть настроена на использование этого метода.
Другим мощным инструментом является метод Гаусса. В отличие от методов, использующих равномерное разбиение интервала, метод Гаусса выбирает узлы и веса на основе особенностей функции. Это позволяет достичь высокой точности с меньшим количеством точек разбиения. В Mathematica для использования данного метода можно указать опцию Method -> "GaussLegendre" в функции NIntegrate.
Метод Монте-Карло часто используется в случаях, когда интегрируемая функция имеет сложную многомерную зависимость или задана случайным образом. Этот метод работает путем случайного выбора точек в пределах области интегрирования и вычисления среднего значения функции в этих точках. В Mathematica метод Монте-Карло можно реализовать с помощью опции Method -> "MonteCarlo", что особенно удобно при работе с многомерными интегралами.
Важно учитывать, что каждый из этих методов имеет свои ограничения по точности и скорости вычислений. Метод трапеций и Симпсона могут быть эффективны для гладких функций, но для сложных или быстро меняющихся функций требуется использование методов, таких как Гаусса или Монте-Карло. Mathematica позволяет легко экспериментировать с различными методами и настраивать параметры для достижения необходимой точности, что делает его мощным инструментом для численного интегрирования.
Решение интегралов с особыми условиями и сингулярностями

При решении интегралов с особыми условиями и сингулярностями в Mathematica важно учитывать несколько ключевых аспектов, которые определяют корректность и эффективность вычислений. Основные задачи возникают при наличии точек разрыва или стремящихся к бесконечности функций. В таких случаях необходимо использовать специфичные методы, обеспечивающие правильный результат.
Для интегралов с сингулярностями важно учитывать два основных типа: сингулярности первого рода (например, разрывы в точке) и сингулярности второго рода (бесконечные градиенты). Mathematica предоставляет несколько функций, которые могут помочь при расчете таких интегралов:
Integrate– стандартная функция для вычисления интегралов, которая автоматически справляется с многими типами сингулярностей, если они явно указаны.PrincipalValue– используется для вычисления интегралов с сингулярностями на границах или внутри области интегрирования.Limit– помогает находить пределы функции в случае, если сингулярность выражается в виде стремления к бесконечности.
Для корректного вычисления интегралов с сингулярностями важно правильно задать пределы интегрирования, особенно если они включают точки, в которых возникает разрыв функции. Например, при вычислении интеграла с особенностью в точке x=a можно использовать параметр Assumptions для указания свойств функции в окрестности этой точки.
Пример 1: Интеграл с разрывом в точке x=0
Integrate[1/Sqrt[x], {x, 0, 1}, Assumptions -> x > 0]
В этом примере Mathematica учитывает сингулярность в точке x=0 и корректно вычисляет интеграл с заданными ограничениями.
Пример 2: Интеграл с полюсом второго рода в точке x=0
Integrate[1/x^2, {x, 1, Infinity}, Assumptions -> x > 0]
Здесь используется предел, чтобы корректно вычислить интеграл с бесконечным разрывом. Важно отметить, что результат может быть бесконечным, и Mathematica вернет ошибку, если интеграл расходится.
Метод численного интегрирования также может быть полезен для сложных случаев, где аналитическое решение невозможно. В таких случаях используется функция NIntegrate, которая позволяет задавать параметры для точности и метода вычислений:
Method -> "PrincipalValue"– для численного вычисления интегралов с сингулярностями.WorkingPrecision– для задания точности вычислений, что особенно важно при наличии малых значений или сильных колебаний в функции.
Пример 3: Численное интегрирование с сингулярностью в точке x=0
NIntegrate[1/Sqrt[x], {x, 0, 1}, Method -> "PrincipalValue"]
В случаях с высокими сингулярностями или сложными особенностями, такими как колебания в функции, может понадобиться использование дополнительных техник, таких как разбиение области интегрирования на более мелкие участки с последующим численным решением на каждом из них. Это позволяет избежать ошибок, связанных с плохим поведением функции в определенных точках.
Кроме того, важно учитывать, что Mathematica предоставляет широкий инструментарий для работы с интегралами на комплексной плоскости, где сингулярности могут иметь особое поведение. Например, для вычисления интегралов, содержащих сложные полюса, можно использовать контурные интегралы и теорему о вычетах.
Подводя итог, вычисление интегралов с особыми условиями и сингулярностями в Mathematica требует тщательного подхода и знания доступных методов. Важно правильно выбирать функции и параметры для учета всех особенностей проблемы. Основными инструментами являются Integrate, PrincipalValue и численные методы, которые позволяют добиться точных результатов даже в сложных случаях.
Визуализация результата интегрирования в Mathematica

После вычисления интеграла с помощью функции Integrate, результат удобно представить графически с использованием Plot или Plot3D, в зависимости от числа переменных.
Для одномерного выражения, например f[x_] := Integrate[Sin[x], x], используйте Plot[f[x], {x, 0, 2 Pi}] для построения графика на заданном интервале. Это позволяет проанализировать поведение первообразной функции.
При работе с определённым интегралом, визуализацию можно дополнить областью под графиком. Пример: Plot[Sin[x], {x, 0, Pi}, Filling -> Axis]. Параметр Filling подчёркивает смысл интегрирования как площади под кривой.
Для двойных интегралов используйте Plot3D. Например: f[x_, y_] := x y, Plot3D[f[x, y], {x, 0, 1}, {y, 0, 1}] визуализирует поверхность, над которой производится интегрирование. Это облегчает понимание структуры области и характера функции.
При необходимости выделения области интегрирования на плоскости применяйте RegionPlot. Для области x^2 + y^2 < 1 используйте: RegionPlot[x^2 + y^2 < 1, {x, -1, 1}, {y, -1, 1}].
Комбинирование графиков с использованием Show позволяет совмещать график функции и области интегрирования. Например, объединение Plot3D и RegionPlot3D помогает визуализировать границы области под поверхностью.
Для анимации зависимости от параметров применяйте Manipulate. Пример: Manipulate[Plot[Integrate[Sin[a x], x], {x, 0, 2 Pi}], {a, 0.5, 5}] показывает изменение интеграла при варьировании параметра a.
Использование расширений для более сложных интегралов

Для вычисления интегралов, выходящих за рамки стандартных аналитических методов Mathematica, целесообразно подключать специализированные пакеты. Один из таких – Rubi (Rule-based Integrator), реализующий правила интегрирования, которые не входят в базовую систему Mathematica. Установка выполняется через загрузку репозитория с GitHub и запуск соответствующего .m-файла. После подключения команды Int[expr, x] заменяют стандартную Integrate[expr, x] и обеспечивают более точный контроль над ходом интегрирования.
Для интегралов с особой структурой, например, содержащих гипергеометрические функции, можно задействовать пакет SpecialFunctions. Подключение: <<SpecialFunctions`. Он расширяет возможности по работе с выражениями вида Hypergeometric2F1, MeijerG, что позволяет упростить результат или получить его в виде, пригодном для численного анализа.
В задачах с параметрическими интегралами полезен пакет TensorCalculus, особенно при работе с физическими моделями. Он позволяет автоматизировать свертки и упрощения, связанные с тензорными выражениями под знаком интеграла.
При необходимости решения интегралов с особыми условиями (например, вырезами на комплексной плоскости) следует использовать функциональность пакета ContourIntegration, доступного через FunctionRepository["ContourIntegrate"]. Этот метод требует явного задания пути интегрирования и особенно полезен при работе с несобственными или многозначными функциями.
Рекомендуется предварительно упрощать подынтегральное выражение с помощью FunctionExpand, FullSimplify или Together перед применением внешних расширений – это повышает вероятность успешного вычисления.
